Uchwały Rady

Uchwała Nr XXVII/152/09 w sprawie zmian w budżecie Gminy Wieliczki na 2009 r.

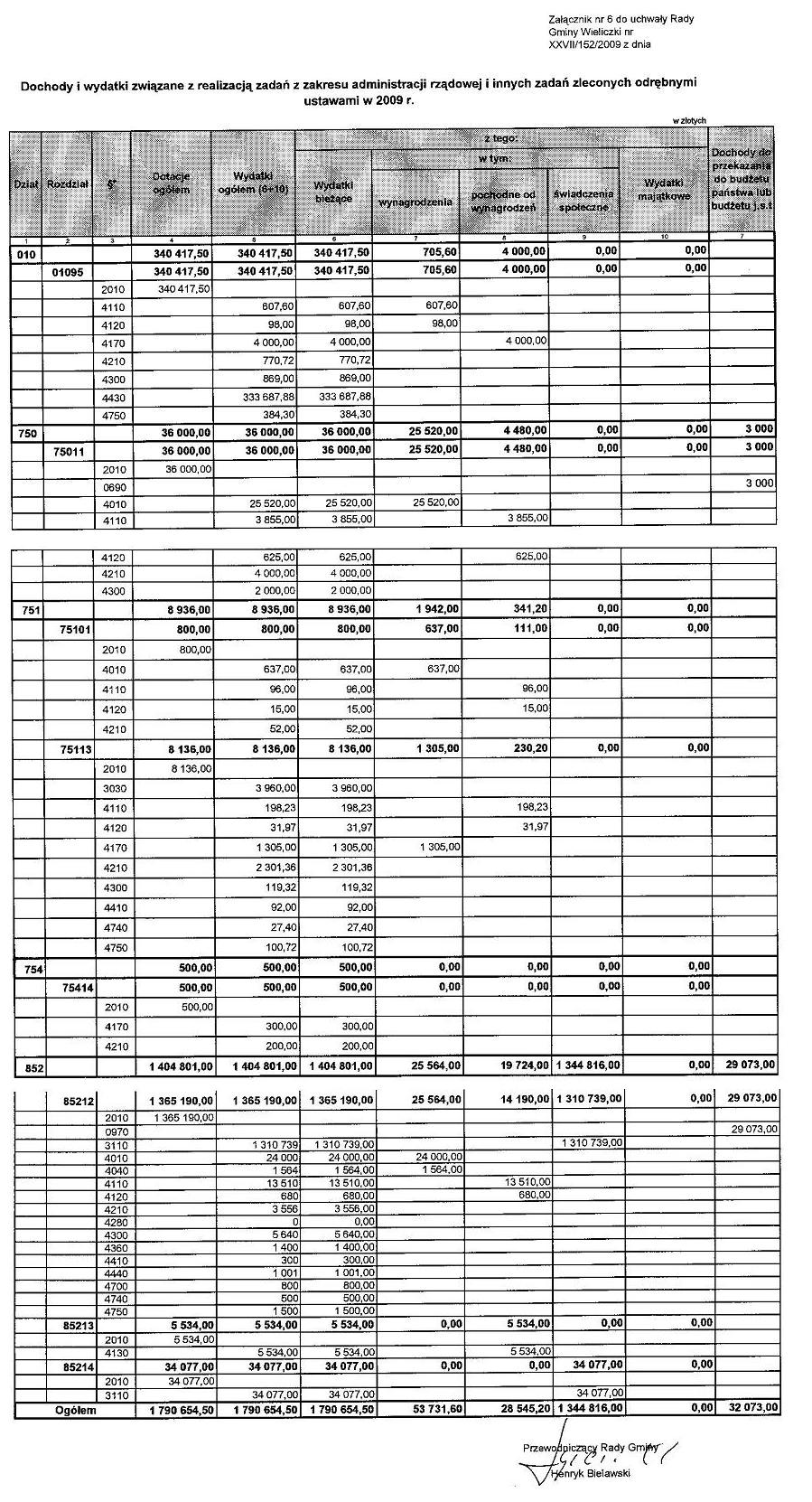
Treść oraz załączniki do uchwały w załączeniu

Załączniki

Rejestr zmian

Data wprowadzenia dokumentu do BIP: 16 grudnia 2009 14:47
Dokument wprowadzony do BIP przez: Marek Kowalewski
Ilość wyświetleń: 1154
16 grudnia 2009 14:48 (Marek Kowalewski) - Dodanie załącznika.
16 grudnia 2009 14:48 (Marek Kowalewski) - Dodanie załącznika.
16 grudnia 2009 14:48 (Marek Kowalewski) - Dodanie załącznika.